La question de l’évolution du dimorphisme sexuel humain est souvent (mal)traitée dans le débat public, et je vais essayer d’apporter ici un peu de précisions en répondant simplement à cette question : Est-il vrai que le dimorphisme sexuel n’existait pas « à la préhistoire » ?
(Note : le dimorphisme sexuel, c’est l’ensemble des différences morphologiques entre les mâles et les femelles d’une espèce : la taille, le poids, la musculature, la forme du pelvis, la longueur des canines, etc.)
Evolution du dimorphisme sexuel au sein du genre Homo
Si l’on parle du dimorphisme sexuel de taille et de poids, pour autant qu’on puisse en être certain aujourd’hui, il a toujours existé dans le genre Homo. Dans les grandes lignes, il a suivi la trajectoire suivante : les premiers humains (Homo habilis et d’autres espèces possibles du genre Homo vers -2/-3 millions d’années, et aussi certains australopithèques) semblent au contraire avoir été nettement plus dimorphiques qu’Homo sapiens. Ce dimorphisme aurait diminué progressivement, sans jamais s’annuler vraiment. A priori, les statures des hommes comme celles des femmes ont augmenté, mais les femmes ont grandi plus que les hommes.
Il peut bien sûr exister encore un doute sur la fiabilité des mesures, notamment pour les Australopithèques et les tout premiers humains, et plus généralement pour toutes les espèces, sous-espèces ou populations locales pour lesquelles les échantillons sur lesquels il est possible de travailler sont réduits, ou leur état dégradé.
Parmi les question que les chercheurs ont souvent posées, et pouvant conduire à des erreurs importantes : deux individus très différents sont-ils deux membres d’une même espèce très dimorphique, ou sont-ils de deux espèces différentes ? Ou encore : dans des échantillons faibles, est-ce qu’on n’a pas découvert par hasard des mâles plus grands que la moyenne, et des femelles plus petites (plausible par exemple chez Australopithecus afarensis) ? Ou encore : au sein d’une même espèce dont l’existence a duré plusieurs centaines de milliers d’années, sait-on bien évaluer les évolutions temporelles au sein de cette espèce ? On sait qu’on a eu historiquement des erreurs d’attribution de sexe, et encore aujourd’hui, on ne diagnostique le sexe ou l’espèce qu’avec une certaine probabilité d’erreur.
Cependant, à mesure qu’on avance dans le genre Homo, d’une part, et dans la connaissance de nos ancêtres, le renforcement des échantillons et l’amélioration des méthodes, d’autre part, le risque d’erreur diminue. On a un nombre de données qui augmente et plus d’éléments de diagnostic du sexe, même si la précision n’est pas absolue. Par ailleurs, plus les chercheurs disposent de restes d’individus différents, plus ils peuvent aussi se permettre d’écarter les plus douteux tout en gardant un nombre d’individus suffisant pour une analyse statistique. On peut espérer que les résultats soient, dans les grandes lignes, corrects pour les études les plus récentes, surtout si on trouve entre espèces de grandes variations.
En l’état des connaissances, voici en gros ce que l’on trouve, pour le ratio mâles/femelles ou hommes/femmes, pour des études qui ont tenté récemment de mesurer ce dimorphisme pour toute la durée du genre Homo, des australopithèques, et éventuellement les chimpanzés, pour avoir une autre base de comparaison :
[Ruff et al, 2018], donnent pour le dimorphisme de poids : Australopithecus afarensis : 1,54 ; Australopithecus africanus et Paranthropus robustus : 1.36 ; Homo archaïques jusqu’au pléistocène moyen et supérieur : 1.20–1.27 ; humains modernes du pléistocène moyen et supérieur : 1.15.
[Grabowski et al., 2015] : Australopithecus afarensis : 1,59 ; Homo archaïques : 1,42 ; Homo erectus : 1,17 ; Homo sapiens : 1,12 ; Pan troglodytes (chimpanzé) : 1,30
Même si ces deux études ne trouvent pas exactement les même résultats (mais elles ne rassemblent pas exactement les mêmes espèces), elles s’accordent sur les grandes lignes : on trouve une nette tendance à la diminution du dimorphisme sexuel tout au long de l’évolution (pré)humaine depuis -3,5 millions d’années environ, jusqu’à Homo sapiens : des mâles jusqu’à 50% plus lourds que les femelles chez Afarensis, une réduction progressive au sein du genre Homo, pour parvenir à des hommes seulement 12 à 15% plus lourds que les femmes chez Homo sapiens.
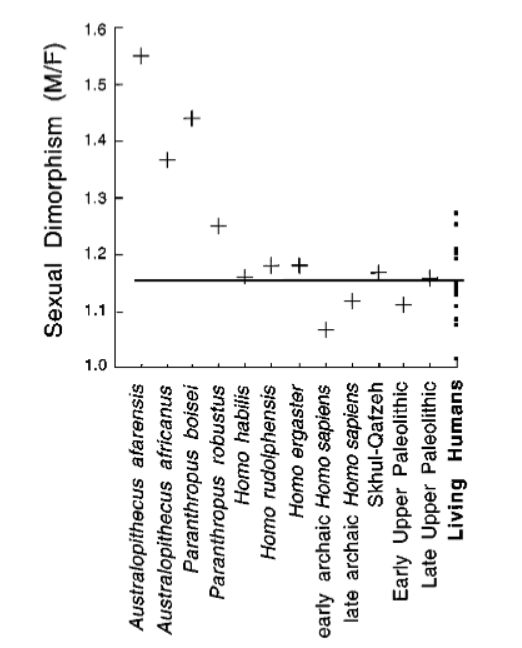
Une étude plus ancienne de Ruff donnait un graphique intéressant pour notre réflexion, puisqu’il montre lui aussi un dimorphisme décroissant jusqu’à Homo sapiens, en accord avec les études plus récentes, mais, au sein d’Homo sapiens, des variations possibles. Notamment, pour ce qu’il appelle « early archaic Homo sapiens » (qu’il situait entre -150 000 et -100 000 ans), un possible passage par un dimorphisme inférieur à celui des Homo sapiens plus tardifs (7% seulement). Cependant, c’est un résultat de 1997, qui portait sur 8 individus au total pour les « early archaic Homo sapiens« . Qu’en est-il depuis ?

Variations au sein d’Homo sapiens
On se retrouve donc avec notre espèce, Homo sapiens, qui possède un dimorhisme sexuel réduit, et possiblement plus faible pour certains Homo sapiens du paléolithique, avec toutes les réserves dues à l’ancienneté de l’étude de Ruff.
Les études plus récentes ont tendance à se concentrer sur le paléolithique supérieur (difficile donc de trouver une confirmation ou une infirmation d’un minimum de dimorphisme vers -100 à -150 000 ans), et confirment que, si l’on y regarde de près, au sein d’Homo sapiens, le dimorphisme a effectivement varié dans une certaine mesure. Il est possible qu’il ait été plus faible à certaines époques qu’à d’autres, et notamment à certaines époques du paléolithique.
Cependant, affirmer qu’il ait pu être nul « à la préhistoire », ou durant le paléolithique, est problématique : en règle générale, et sauf exception, il est assez proche de celui que l’on retrouve après le paléolithique, les études ne trouvant d’ailleurs pas forcément les mêmes variations, notamment si elles portent sur des zones géographiques différentes. Par exemple, [Piontek & Vacanta, 2012] trouvent pour l’Europe centrale un dimorphisme sexuel plus grand au début du paléolithique supérieur (avant le maximum glaciaire), que dans toutes les périodes suivantes :

Tandis que [Niskanen et al. 2018], sur un périmètre plus large, trouvent un dimorphisme de taille un peu plus faible au début du paléolithique supérieur que pour les époques suivantes :

Dans tous les cas, le dimorphisme sexuel de taille et de poids est bien réel, en règle générale, chez les humains, au paléolithique aussi bien que dans les périodes suivantes de la préhistoire…
Un second problème est qu’on ne parle ici que de l’idée la plus simpliste de dimorphisme : le dimorphisme de taille ou de poids. Le dimorphisme, chez Homo sapiens, est bien plus compliqué.
Le dimorphisme, ce n’est pas qu’une histoire de taille et de poids
Outre les différences de taille et de poids, il y a quelques autres différences importantes de morphologie entre hommes et femmes :
Aujourd’hui, la masse musculaire des hommes représente un pourcentage plus grand du poids total que celle des femmes. De plus, cette masse musculaire est plus importante encore dans le haut du corps chez les hommes, avec des particularités comme une force nettement plus grande dans la main et l’avant-bras qui résulte en une différence de poigne (grip) importante, une puissance dans la frappe au poing bien plus importante chez les hommes, ou encore lors du lancer d’objets, etc.
Issu de ce cours au collège de France de Jean-Jacques Hublin :
Au paléolithique supérieur, ou encore au néolithique, on trouve parfois des indices d’une force remarquable chez les femmes, mais on trouve aussi par exemple une latéralisation (le fait d’avoir un côté du corps, notamment le bras, plus musclé que l’autre) plus poussée chez les hommes que chez les femmes, avec des variations selon les époques et les sociétés étudiées. Ce qui fait par exemple conclure à [Villotte et al., 2017] :
Nos résultats renforcent donc les hypothèses sur les modèles comportementaux des populations du Pléistocène supérieur, à savoir l’existence d’une division du travail entre les tâches unimanuelles (essentiellement masculines) et bimanuelles (essentiellement féminines), ainsi que des niveaux élevés de mobilité.
Ce n’est qu’un exemple d’avis, d’autres ne sont pas forcément d’accord avec cette conclusion. Cependant, il faut s’intéresser à toutes ces différences, si on veut aborder l’ensemble du dimorphisme sexuel humain, et s’interroger sur leur éventuelle signification évolutionnaire, et/ou l’existence d’une division du travail précoce.
Cela dit, ça mènerait à un article beaucoup trop long, et je vais m’arrêter là pour aujourd’hui. En tout cas, rien ne permet d’affirmer à ce jour qu’il n’y avait pas de dimophisme sexuel » à la préhistoire », ou dans n’importe quelle partie de la préhistoire.
Pour plus de sources sur ces questions, je vous invite à aller fouiller dans mes différentes pages bibliographiques [ici]

Bonjour,
Comment expliquez-vous que Claudine Cohen, dans l’interview ci-dessous, mentionne à la 5e minute qu’à l’origine il y avait peu de dimorphisme chez les humains et que c’est la sélection sexuelle opérée par les femmes qui a entraîné les caractères sexuels secondaires et une augmentation de sa stature des hommes ?
trois fois w.youtube.com/watch?v=GlSWClVScxQ
D’avance merci pour votre réponse.
J’aimeAimé par 1 personne
Bonjour.
La source de Claudine Cohen, c’est Darwin. Je dirais que c’est un peu daté.
J’aimeJ’aime